Даже в пределах одного сезона давление отбора на растения может меняться. Одним из примеров такой ситуации служит фенологическая асинхронность между цветением и активностью опылителей: одни растения цветут рано и насекомых на них почти нет, а другие зацветают позже, когда опылителей много. Такие временные рассогласования могут менять связь между признаком растения и его приспособленностью, то есть влиять на то, какие растения оказываются более успешными в размножении. Недавнее исследование, опубликованное в журнале Annals of Botany, показало, как это работает на примере Stigmaphyllon paralias — растения, выделяющего масло для специализированных пчел. Оказалось, что растения, цветущие в пик сезона, при нехватке визитов пчел (сильное лимитирование пыльцой) получают преимущество за счет крупных цветков — у них больше семян и больше визитов. Поздноцветущие растения в условиях достаточного количества опылителей, напротив, теряют это преимущество: крупные цветки требуют много ресурсов, а семян образуется меньше. В итоге направление отбора менялось с течением времени: в начале сезона выгоднее иметь большие цветки, в конце — мелкие.
Давление естественного отбора не является постоянным: оно изменяется во времени и пространстве, определяя направление эволюционных преобразований. Согласно концепции географической мозаики коэволюции (The Geographic Mosaic of Coevolution), разные популяции одного и того же вида могут вступать в коэволюционные отношения с партнерами по-разному, поскольку характер взаимодействий варьирует в зависимости от географического контекста.
В результате эволюция носит локальный характер: в одних популяциях отбор оказывается особенно сильным и направленным («горячие точки»), тогда как в других популяциях он ослаблен или вовсе отсутствует («холодные точки»; см. Неядовитые змеи вырабатывают устойчивость к смертоносному яду тритонов, «Элементы», 21.03.2008). При этом постоянный поток генов между популяциями объединяет эти локальные сценарии, и коэволюция предстает не как единый процесс, а как мозаика пространственно разнородных взаимодействий.Не менее изменчиво и селективное давление во времени. Разные агенты отбора могут влиять на популяцию с разной силой в разные годы или даже в разные месяцы, ускоряя или замедляя эволюционные процессы. Колебания возможны даже в пределах одного репродуктивного сезона. Особую роль здесь играют биотические взаимодействия, например, партнерство между растениями и их опылителями. Если пики цветения растений и активности опылителей не совпадают, возникает временная асинхронность. Она может быть вызвана конкуренцией за опылителей между разными видами растений или смещением сроков цветения — в том числе под влиянием изменения климата. В результате одни растения в популяции цветут тогда, когда насекомых мало, а другие — когда их много. Такое рассогласование влияет не только на число завязавшихся семян, но и на то, какие признаки оказываются выгодными именно в этот момент.
Недавнее исследование, опубликованное в журнале Annals of Botany, было посвящено тому, как совпадение или рассогласование во времени между цветением растения и активностью опылителей влияет на лимитирование пыльцой и, в конечном счете, на связь между признаками цветка и репродуктивным успехом.
Исследование проводилось в Национальном парке Катимбау на северо-востоке Бразилии в 2020 году, в разгар цветения местного растения Stigmaphyllon paralias. Этот кустарник или полукустарник из семейства Мальпигиевые цветет в период с октября/ноября по май/июнь, а пик его массового цветения обычно приходится на декабрь–март. У каждого отдельного растения «праздник цветения» длится около месяца, а отдельный цветок живет всего до трех дней. Цветки S. paralias — желтые, зигоморфные (то есть асимметричные), с пятью лепестками (рис. 1). Лепесток состоит из двух частей — верхней широкой, называемой отгибом, и нижней узкой, похожей на черешок листа и называемой ноготком. У одного из пяти лепестков — «флагового» — этот ноготок толще, чем у остальных. Чашелистики цветка снабжены особыми масляными железками (элайофорами, см. Elaiophore). Ради этого масла цветок и посещают его главные опылители — пчелы из группы Centridini (семейство Apidae). Поведение этих пчел стереотипно: они крепко захватывают флаговый лепесток челюстями, оставляя на нем заметный след — характерное некротическое повреждение. Этот след невозможно спутать с чем-то другим, поэтому он надежно показывает факт визита. Затем они соскабливают масло с железок специальными щеточками на передних и средних ногах (рис. 1, С, D). Одновременно на их теле оседает пыльца, которая переносится к другим растениям. Без таких пчел кустарник размножиться не может: он самонесовместим, то есть собственная пыльца не приводит к образованию семян. Плоды S. paralias содержат до трех семян.
Ученые хотели понять, как совпадение или рассогласование во времени цветения растения и активности пчел влияет на его размножение. Для этого они организовали два «раунда» наблюдений продолжительностью приблизительно по 10 дней: первый — в период массового цветения, когда растений с цветками было много, но пчелы почти не прилетали; второй — через 3–4 недели, когда цветущих растений осталось меньше, зато активность опылителей резко выросла. При этом число раскрытых цветков на растение между раундами не различалось. В каждом раунде исследователи работали с 90 кустами (всего 180), расположенными не ближе трех метров друг от друга, чтобы избежать отбора клонов.
Чтобы разобраться, как особенности цветков Stigmaphyllon paralias связаны с их успешным размножением, исследователи внимательно измеряли и сравнивали несколько параметров. Их интересовали три вещи: цветочный фенотип (то есть внешние характеристики цветка), лимитирование пыльцой (насколько недостаток пыльцы мешает образованию семян) и частота посещений опылителями. Для этого на каждом кусте помечали от одного до трех свежераспустившихся цветков. Главным показателем фенотипа авторы выбрали размер цветка, так как у многих растений именно крупные цветки лучше привлекают опылителей. Кроме того, у S. paralias размер лепестков положительно связан с размером масляных железок, ради которых и прилетают специализированные пчелы. Чтобы получить точные данные, исследователи фотографировали цветки с масштабной линейкой и измеряли расстояние между крайними точками боковых лепестков.
Далее они проверяли, насколько растениям хватает пыльцы для нормального семенного воспроизводства. Для этого использовали классический метод — сравнение естественного опыления и искусственного (ручного) опыления. В каждой серии наблюдений половину кустов оставляли на волю природы (естественное опыление), а другую половину люди брали под свой контроль (ручное опыление). В последнем случае в первый день раскрытия цветка на его рыльце наносили свежую пыльцу, собранную с другого растения, расположенного не ближе трех метров. Такой выбор исключал возможность, что донор и реципиент окажутся клонами или близкими родственниками. Для опыления использовали пыльники только что раскрывшихся цветков: их аккуратно извлекали и втирали в рыльце.
Через 15 дней ученые проверяли, образовались ли семена. Сравнивая результаты между двумя группами, можно было понять, насколько в естественных условиях растения страдают от нехватки перекрестного опыления. Этот показатель называется «лимитирование пыльцой» и выражается формулой: 1 − (среднее число семян при естественном опылении)/(среднее число семян при ручном опылении). Значение, близкое к 1, означает сильный дефицит пыльцы (естественное опыление работает плохо), а значение, близкое к 0, говорит о том, что пыльцы хватает.
На второй день жизни каждого помеченного цветка ученые фиксировали, есть ли на флаговом лепестке некротическое повреждение ткани, оставленное челюстями пчелы. Так получали простую бинарную характеристику: цветок либо хотя бы раз посетили маслособирающие пчелы, либо он остался незамеченным.
Кроме этого, исследователи подсчитывали, сколько плодов образовалось на каждом растении, — это служило обобщенным показателем его приспособленности. Исследователи проверяли, как размер цветка связан с успехом размножения. В качестве показателя успеха они использовали относительную приспособленность. Для каждого растения ее считали как произведение числа плодов на долю семяпочек, превратившихся в семена. Этот показатель нормировали, то есть сравнивали со средним значением по всей популяции, чтобы было удобно видеть, кто успешнее, а кто хуже среднего. В анализ включили только те растения, которые опылялись естественным образом, без вмешательства человека (87 особей).
В результате выяснилось, что отбор по размеру цветков зависит от времени цветения. У растений, цветущих в разгар сезона, больше шансов на успех имели крупные цветки. А у тех растений, что зацветали позже, наоборот, преимущество оказалось у мелких цветков. Иными словами, направление отбора меняется в зависимости от времени цветения (рис. 2). Более того, сила отбора тоже была разной: в пик сезона давление отбора на размер цветка было заметно сильнее, чем в конце. Если же рассматривать всю популяцию целиком, без учета времени цветения, то статистически значимого отбора на размер цветка не выявлялось.

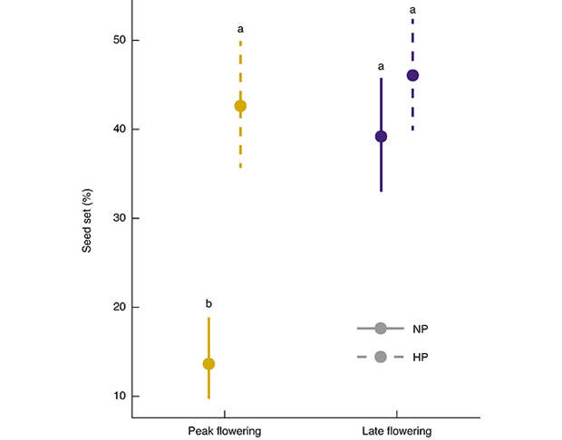
Лимитирование пыльцой тоже было изменчиво во времени. В пик цветения нехватка пыльцы была очень высокой (индекс лимитирования пыльцой — 0,74). Растения, которые получили дополнительное ручное опыление, завязывали семян в три раза больше, чем те, что остались на естественном опылении. Зато у поздноцветущих растений лимитирования пыльцой почти не было (индекс лимитирования пыльцой — 0,03). Их завязывание семян почти не зависело от «помощи» человека и было сопоставимо с результатами ручного опыления в пике цветения (рис. 3).

Во время наблюдений были зарегистрированы три вида маслособирающих пчел: Centris (Centris) aenea, C. (C.) caxiensis, C. (Trachina) perforator. Частота визитов опылителей резко различалась между периодами наблюдения (рис. 4). У растений, цветущих в пик, следы визитов пчtл (некротические отметины на флаговых лепестках) были лишь на 7,5% цветков (из 134). А у поздноцветущих растений — уже на 93,6% цветков (из 140). То есть разница была огромной.

Кроме того, оказалось, что пчелы чаще выбирали более крупные цветки. То есть размер напрямую влиял на вероятность визита, и чем больше был цветок, тем выше шанс, что его заметят. Более крупные цветки играют роль честного сигнала — они обещают опылителю больше нектара, масел или смол, даже если те остаются невидимыми до посадки. В первый период наблюдения, когда опылителей было мало, крупные цветки действительно давали своим владельцам преимущество: они чаще привлекали пчёл и обеспечивали больше семян.
Однако при высокой активности опылителей различия между фенотипами теряли значение. Все растения получали достаточно визитов, лимитирование пыльцой исчезало, и возможности для отбора почти сводились на нет. Более того, в таких условиях ограничивающим фактором становились уже не визиты пчел, а ресурсы среды. В дефиците влаги или питательных веществ, характерном, например, для сухих лесов, даже обильное опыление не гарантирует высокий урожай семян. У растений с крупными и броскими цветками это приводит к обратному эффекту: значительная часть ресурсов уходит на рекламу, тогда как на формирование семян сил остается меньше. В результате крупный цветок превращается из преимущества в обузу, а связь между размером цветка и репродуктивный успехом может становиться отрицательной. Однако, возможно, крупные цветки сохраняют преимущество в другой плоскости — через мужскую функцию, обеспечивая лучшее качество пыльцы или ее более успешную конкуренцию, но такие аспекты пока трудно измерить.
Таким образом, в пределах одного сезона цветения давление отбора не остается стабильным. Оно может меняться от положительного к отрицательному в зависимости от того, совпадает ли активность опылителей с пиком цветения и насколько ресурсы ограничивают растения. Это ведет к тому, что опылители не всегда формируют устойчивый и предсказуемый отбор, а скорость эволюционных изменений в таких условиях может снижаться. В будущем важно понять, как продолжительность сезона цветения влияет на скорость таких изменений: чем короче период цветения, тем меньше вариаций в селективных давлениях, а значит, и эволюция может идти по иным траекториям.
Источник: Liedson Tavares Carneiro, Isabel Cristina Machado. Evolutionary consequences of flowering–pollinator asynchrony: the case of a floral oil-producing plant and its oil-collecting bees // Annals of Botany. 2025. DOI: 10.1093/aob/mcaf126.
Елена Устинова


Свежие комментарии