
В последние годы наблюдается активное открытие новых антител, однако количество новых низкомолекулярных соединений постепенно сокращается. При этом важным преимуществом уже известных молекул остается их хорошо изученный профиль безопасности и значительный опыт применения в реальной клинической практике.
Интерес к таким препаратам не ослабевает, что стало предметом обсуждения в рамках профессионального вебинара с участием А.Б. Данилова, д.м.н., профессора, заведующего кафедрой нервных болезней Института профессионального образования Первого МГМУ имени И.М. Сеченова, директора Института междисциплинарной медицины, исполнительного директора Ассоциации междисциплинарной медицины, и Е.Н. Каревой, д.м.н., профессора кафедры молекулярной фармакологии РНИМУ им. Н.И. Пирогова и кафедры фармакологии Первого МГМУ имени И.М. Сеченова.Тревожные расстройства: эпидемиология, патогенез и клинические проявления
Тревога является ведущим аффективным расстройством в мире. По разным оценкам, тревожными расстройствами страдают до 284 миллионов человек в мире, и каждый третий принимает анксиолитические препараты. В общей врачебной практике доля пациентов, использующих анксиолитики, достигает 75–95%. Распространенность тревожных расстройств в США и России сопоставима и составляет около 30% населения.
Современные методы нейровизуализации – функциональная МРТ, ПЭТ и диффузионно-тензорная трактография – существенно расширили понимание нейробиологических механизмов тревожных расстройств. Исследования показывают: в патогенез тревожных расстройств вовлечены различные структуры головного мозга: гиппокамп, префронтальная кора, гипоталамус и периакведуктальная серая область, при этом центральную роль играет миндалина.
Работы последних лет демонстрируют гиперактивность миндалины и нарушение функциональных связей с префронтальной корой у пациентов с тревожными расстройствами. Особый интерес также представляют данные о нарушениях функциональной коннективности в состоянии покоя, включая изменения в работе сети режима по умолчанию (default mode network) и сети выявления значимости (salience network).В отличие от депрессивных расстройств, ключевой когнитивной характеристикой тревоги является направленность мыслей на будущее, сопровождающаяся страхом предстоящих событий. При отсутствии своевременного лечения негативный паттерн мышления начинает распространяться и на прошлое, что закономерно способствует развитию депрессии. Коморбидность тревоги и депрессии достигает 30–70%. В этой связи центральное место в терапии занимают анксиолитические препараты, устраняющие чувство страха, напряженности и тревоги, при этом основную группу составляют бензодиазепины, действующие на ГАМК-А-рецепторы, плотность которых особенно высока в миндалине. Диагноз невротического (тревожного) расстройства устанавливается при сохранении симптомов не менее шести месяцев.
Ключевым инициатором тревоги является хронический стресс. Его длительное воздействие может приводить не только к тревожным, но и к паническим расстройствам, посттравматическому стрессовому расстройству, депрессии и другим психическим нарушениям. Последствия тревоги носят системный характер: они затрагивают практически все уровни соматического здоровья, вызывая психосоматическую дисрегуляцию. Эти состояния сопровождаются стимуляцией транскрипции провоспалительных генов, увеличением концентрации провоспалительных и снижением уровня противовоспалительных цитокинов в плазме крови, нарушением секреции нейромедиаторов и повышением чувствительности глутаматных рецепторов. Эти нарушения также сопровождаются развитием окислительного стресса, повреждением белков, липидов, ДНК и клеточных рецепторов, что может приводить к повышению риска развития или усугублению течения иммуновоспалительных заболеваний – ревматоидного артрита, системной красной волчанки, болезни Шегрена и болезни Бехчета.
Тревожные расстройства усугубляют течение и повышают смертность от соматических заболеваний, включая гипертонию и сердечную аритмию. У пациентов с тревогой часто присутствуют соматические симптомы, регулируемые вегетативной нервной системой, – головная боль, утомляемость, потливость, повышенное артериальное давление, тахикардия, мышечные спазмы и дрожь. Соматовегетативные нарушения в рамках соматоформной вегетативной дисфункции проявляются широким спектром симптомов, затрагивающих различные системы организма. Сердечно-сосудистые проявления включают ощущение перебоев в работе сердца, чувство пульсации сосудов и лабильность артериального давления. Вегетативные симптомы характеризуются нарушениями терморегуляции, непереносимостью жары и холода, а также наличием «приливов» и ознобов. Респираторные нарушения, даже при рентгенологическом разрешении пневмонии, могут проявляться чувством невозможности вдохнуть полной грудью, ощущением нехватки воздуха и страхом удушья, а также изменением ритма и частоты дыхания при эмоциональном напряжении. Соматические мышечные нарушения включают болевой синдром, мышечно-тонические расстройства, фибромиалгические проявления и подергивания мышц. Гастроинтестинальные расстройства проявляются снижением аппетита, затруднением глотания, чувством вздутия и болью в животе, тошнотой, рвотой, а также послаблением стула или запорами, возникающими на фоне психоэмоционального напряжения и стресса.
Фармакотерапия тревожных расстройств
Для оказания помощи пациентам со стрессовыми расстройствами рекомендуется придерживаться стандартов, разработанных Национальным институтом здравоохранения и усовершенствования медицинского обслуживания (NICE). Эти стандарты включают вовлечение пациентов в специальные группы общения, предоставление информации, создание безопасной среды, вовлечение родных и близких в решение проблемы, активное взаимодействие с пациентом при составлении плана лечения, активный мониторинг эмоционального состояния и рациональную фармакотерапию.
Этиотропное лечение тревоги основано на использовании психотерапевтических методик. Патогенетическое лечение включает применение анксиолитиков, антидепрессантов и других препаратов, воздействующих на известные механизмы стресса. Симптоматическое лечение направлено на снятие проявлений стресса и реализуется с помощью седативных и других средств. Заместительное лечение предполагает поддержку и использование препаратов, компенсирующих различные дефициты, а также коррекцию питания.
Рациональная фармакотерапия является важнейшим компонентом помощи пациентам с тревогой. При выборе медикаментозной терапии критически важно опираться на знания о механизмах действия препаратов и патогенезе заболевания. Центральное место в терапии тревожных расстройств занимают бензодиазепины. Первым препаратом этой группы стал хлордиазепоксид, синтезированный в 1955 году в компании Hoffmann-La Roche, а позднее был создан диазепам. До появления бензодиазепинов основную группу снотворных средств составляли барбитураты. По сравнению с барбитуратами бензодиазепины обладают меньшим количеством седативных побочных эффектов, что обусловливает их более благоприятный профиль безопасности. Это свойство и определило их широкое распространение в медицинской практике.
Бензодиазепины и ГАМК-А
Анксиолитические препараты подразделяются на бензодиазепиновые и небензодиазепиновые. К небензодиазепиновым относятся растительные средства – валериана, персен, новопассит, а также синтетические соединения, такие как фабомотизол, гидроксизин, этифоксин и буспирон. Наиболее широко используемые бензодиазепиновые анксиолитики – феназепам, тофизопам, клоназепам, алпразолам, лоразепам, седуксен и медазепам.
Препараты, обладающие седативно-гипнотическим действием, – алкоголь, опиаты, наркозные средства и барбитураты – при повышении дозы вызывают фазу парадоксальной дезингибиции, сопровождающуюся возбуждением. При дальнейшем увеличении дозы развивается седативно-анксиолитический эффект, переходящий в сон, анестезию, медуллярную депрессию и, в случае передозировки, в остановку дыхательного центра, что может привести к летальному исходу. Ключевое отличие между барбитуратами и бензодиазепинами заключается в различии дозовых порогов для достижения седативного и анксиолитического эффекта. У барбитуратов достижение анксиолитического эффекта сопровождается немедленным развитием седативного, тогда как у бензодиазепинов эти эффекты проявляются при разных дозах, что обеспечивает более контролируемый терапевтический профиль.
Для бензодиазепинов характерен самоограничивающий механизм действия: активность рецептора не превышает уровень, достигаемый при максимальной концентрации эндогенного лиганда, ГАМК. Бензодиазепины потенцируют действие γ-аминомасляной кислоты (ГАМК) на рецепторы типа А (ГАМК-А), имитируя эффект природных медиаторов. В частности, механизм действия бензодиазепинов связан открытием хлорного канала, входящего в состав ГАМК-А-рецепторного комплекса, встроенного в мембрану нейрона. Комплекс состоит из нескольких субъединиц, среди которых α- и β-субъединицы играют ключевую роль. В частности, бензодиазепины связываются с участком на β-субъединице, усиливая эффект ГАМК, при этом не открывая канал напрямую, а лишь повышая частоту его открытия в ответ на действие эндогенного лиганда. Это обеспечивает анксиолитический, седативный и противосудорожный эффекты. Дополнительно, на рецепторном комплексе имеются участки связывания для седативных средств и некоторых стероидов, способных модулировать активность хлорного канала.
ГАМК является основным тормозным медиатором центральной нервной системы. У ГАМК-А-рецептора имеются сайты регуляции, чувствительные к тетрагидропрогестерону – метаболиту прогестерона, уровень которого повышается в период гестации. Он связывается с ГАМК-А-рецепторами и вызывает торможение нейронов, особенно в миндалине, способствуя формированию доминанты вынашивания беременности. Прогрессивное увеличение концентрации тетрагидропрогестерона к моменту родов облегчает их течение, выступая в роли эндогенного обезболивающего.
Химическая структура бензодиазепинов представляет собой конденсированное соединение бензольного и диазепинового колец. Механизм действия бензодиазепинов связан с особенностями ГАМК-ергической системы, составляющей 20–30% нейронов головного мозга. ГАМК-А рецепторы представлены семью субъединицами: α (GABRA1, GABRA2, GABRA3, GABRA4, GABRA5, GABRA6), β (GABRB1, GABRB2, GABRB3), γ (GABRG1, GABRG2, GABRG3), δ (GARD), ε (GARRE), π (GARRE) и θ (GARRE). Эти рецепторы кодируются 19 генами, а полиморфизм их субъединиц имеет важное клиническое значение. Например, вариации в субъединицах α1 и γ2 ассоциированы с семейной формой эпилепсии, α2 – с алкоголизмом и лекарственной зависимостью, β1 – с алкоголизмом и биполярными расстройствами, α1, α6, β2 и π — с шизофренией.
Различные комбинации субъединиц ГАМК-А-рецептора обеспечивают разнообразие фармакологических эффектов бензодиазепинов. Классические 1,4-бензодиазепины, такие как диазепам, действуют неселективно, взаимодействуя со всеми конфигурациями рецептора. В отличие от них, дневной анксиолитик тофизопам (Грандаксин) не влияет на те рецепторные комбинации, которые опосредуют снотворное действие, что объясняет его отсутствие седативного эффекта.
Синаптические ГАМК-А-рецепторы обычно содержат субъединицы α1, α2 и α3. Наиболее распространенные комбинации в центральной нервной системе – α1β2γ2, α3β3γ2 и α3β3γ2. ГАМК связывается на стыке субъединиц α и β, тогда как бензодиазепины взаимодействуют на границе между α и γ, что определяет их специфическое действие в рамках модуляции тормозной нейротрансмиссии (Рис. 1).

Рисунок 1. Химическая структура ГАМК-А рецептора. Субъединица α1 участвует в формировании антероградной амнезии и седации, α2 – в реализации миорелаксации и анксиолиза; β-субъединица регулируется барбитуратами и ГАМК, γ – этанолом, а участок между α и γ – бензодиазепинами.
Комплекс, включающий бензодиазепиновый (омега) участок, ГАМК и хлор-ионофор, известен как комплекс Коста, или омега-рецептор, или бензодиазепин (омега)-ГАМК-хлор-ионофорный комплекс. Выделяют шесть типов омега-рецепторов. Рецептор BZ1, ассоциированный с субъединицей α1, отвечает за седативно-снотворный и противосудорожный эффект, тогда как рецептор BZ2, связанный с α2, опосредует анксиолитическое действие и влияет на когнитивные функции. Большинство бензодиазепинов воздействуют на оба типа рецепторов, однако Z-препараты – золпидем, залеплон и эсзопиклон – демонстрируют селективность к рецептору BZ1, что обуславливает их выраженное седативно-снотворное действие при отсутствии анксиолитического эффекта.
Связывание ГАМК с участками на α-субъединицах ГАМК-А-рецептора приводит к открытию хлорного канала и поступлению ионов хлора (Cl⁻) в клетку по градиенту концентрации. Это вызывает гиперполяризацию мембраны и снижение возбудимости нейрона, реализуя основной тормозной механизм центральной нервной системы. Различное соотношение субъединиц и их подтипов определяет спектр фармакологических эффектов и локализацию рецепторов в различных участках головного мозга. Эти соотношения динамичны и изменяются как в процессе эмбрионального, так и постнатального развития. Каждая субъединица ГАМК-А рецептора состоит из четырех трансмембранных сегментов (M1–M4), среди которых сегменты M2, представленные в виде α-спиралей, формируют центральную пору и определяют ионную селективность канала. Альфа-гидрофобная спираль обеспечивает заякоривание субъединицы в билипидном слое мембраны.
Барбитураты при связывании с ГАМК-А-рецептором удлиняют время нахождения хлорного канала в открытом состоянии, тогда как бензодиазепины увеличивают частоту его открытия. При повышении дозы барбитураты способны вызывать длительное или необратимое открытие каналов, продолжая действовать даже в отсутствие ГАМК. В отличие от них, бензодиазепины не активируют канал самостоятельно, поэтому даже в высоких дозах они не вызывают остановку дыхательного центра, что делает их эффект более физиологичным и зависимым от присутствия эндогенного медиатора, ГАМК. При этом важно помнить, что все депримирующие средства с седативным действием, включая алкоголь, не должны применяться одновременно с бензодиазепинами, такими как альпразолам, поскольку это может привести к потенцированию их действия и усилению угнетения центральной нервной системы.
Связывание бензодиазепинов с соответствующим участком рецепторного комплекса усиливает эффект ГАМК, способствуя увеличению входа ионов хлора в нейрон. В результате гиперполяризация мембраны и снижение ее возбудимости обуславливает характерный комплекс фармакологических эффектов – анксиолизис, антероградную амнезию, снотворное действие, миорелаксацию, седацию, а также развитие зависимости и толерантности (Рис. 2).

Рисунок 2. Механизмы фармакологических эффектов бензодиазепинов. Таким образом, фармакологические эффекты бензодиазепинов реализуются через модуляцию активности ГАМК-А-рецепторов, а ГАМК выступает основным медиатором их действия. При торможении глутаматных нейронов посредством ГАМК развивается антиконвульсивный эффект, при подавлении выброса норадреналина – седативный, а при снижении активности серотонинергических нейронов – анксиолитический. Миорелаксация реализуется на уровне вставочных нейронов спинного мозга, тогда как противосудорожное действие – на уровне головного мозга.
Физиологические эффекты бензодиазепинов
Разные представители бензодиазепинов обладают различной химической структурой и в разной степени взаимодействуют с конфигурациями ГАМК-А-рецепторов, что определяет широкий спектр их клинической активности. Так, основным эффектом алпразолама и бромазепама является анксиолизис, диазепама и кетазолама – седация, тетразепама и диазепама – миорелаксация, а клоназепама и диазепама – противосудорожное действие. Изменение тропности молекулы к различным вариантам рецептора позволяет варьировать спектр фармакологической активности препарата (Рис. 3).

Рисунок 3. Спектр активности бензодиазепинов.
Ограничения использования бензодиазепинов
Применение классических бензодиазепинов сопровождается рядом ограничений, связанных с их побочными эффектами и потенциальными рисками. И хотя бензодиазепины по сравнению с барбитуратами обладают меньшим аддиктивным потенциалом, этот риск все еще присутствует. Бензодиазепины также являются индукторами ферментов лекарственного метаболизма, что приводит к увеличению в печени количества ферментов, способных метаболизировать препарат, и развитию толерантности. Быстрое развитие толерантности к анксиолитическому действию требует повышения дозировки и, соответственно, увеличивает вероятность побочных эффектов. Эффект отмены после курса бензодиазепинов может сохраняться даже после полного выведения препарата из крови и длиться более месяца. При использовании препаратов более 2–4 недель значительно возрастает вероятность формирования как физической, так и психической зависимости.
Когнитивные нарушения являются серьезным барьером к назначению бензодиазепинов, особенно у пациентов пожилого возраста, у которых часто наблюдаются расстройства памяти, внимания и снижение скорости психомоторных реакций. В частности, у пожилых пациентов, принимающими бензодиазепины, когнитивные нарушения могут сохраняться даже после отмены препарата, что известно как феномен «когнитивного следа». Поведенческая токсичность, которая проявляется в виде седации, атаксии, нарушений координации и замедления реакций, у пожилых может повышать риск падений, а у водителей – риск дорожно-транспортных происшествий до 60–80%. Некоторые представители бензодиазепинов могут ухудшать время реакции и визуально-пространственные способности, что затрудняет выполнение сложных задач, включая управление транспортными средствами. Исследования показали, что лица, проходившие тестирование на следующий день после приема бензодиазепинов, демонстрировали снижение навыков вождения, сопоставимое с показателями при концентрации алкоголя в крови от 0.05% до 0.10%.
Современные клинические рекомендации существенно ограничивают применение классических бензодиазепинов, учитывая неблагоприятное соотношение риск/польза при длительном использовании. Ведется активный поиск альтернативных анксиолитиков с более благоприятным профилем безопасности. Одним из таких препаратов является тофизопам.
Грандаксин: механизмы действия
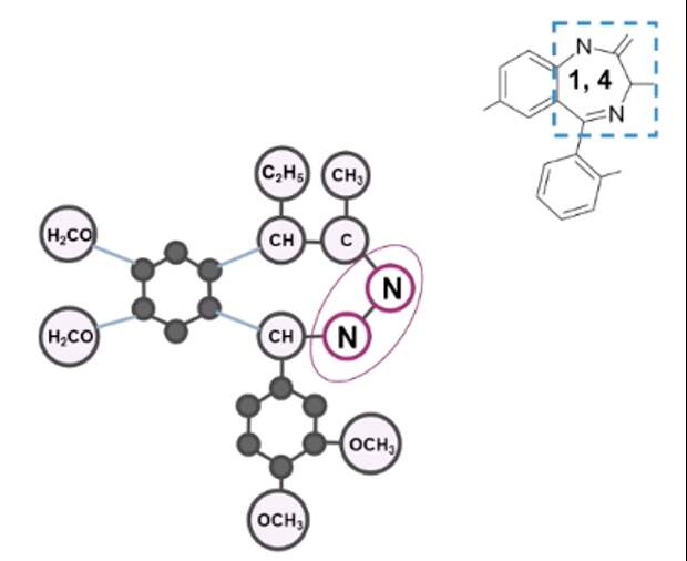
Грандаксин представляет собой оригинальную молекулу, относящуюся к производным 2,3-бензодиазепина. В отличие от классических производных 1,4-бензодиазепина, он обладает атипичной структурой, которая определяет особый фармакологический и клинический эффект препарата. Тофизопам относится к уникальному классу психоактивных веществ, известному как гомофталазины (Рис. 4). Он применяется для лечения тревожных расстройств с 1980-х годов.

Рисунок 4. Химическая структура тофизопама (Грандаксин).
В то время как типичные бензодиазепины взаимодействуют с рецепторами ω1, ω3, ω4, ω5 и ω6, приводя к развитию седативного и антиконвульсивного эффектов, миорелаксации, седации, а также формированию привыкания и зависимости, Грандаксин селективно действует на ω2-рецепторы. Это обеспечивает уникальный нейрофармакологический профиль: выраженный анксиолитический и вегетокорригирующий эффекты при отсутствии побочных эффектов, характерных для классических бензодиазепинов. Так, в среднетерапевтических дозах тофизопам не вызывает антероградную амнезию, не обладает снотворным, седативным и миорелаксирующим действием, не усиливает действие этанола и не вызывает зависимости и толерантности при повторном применении. Антиамнестические эффекты тофизопама сопровождаются улучшением синаптогенеза гиппокампа, нейрогенеза и пластичности глии в экспериментальных условиях. Тофизопам также обладает легким антидепрессивным действием и не снижает психомоторную активность. Время наступления эффекта препарата характеризуется быстрым развитием анксиолитического действия. У молодых пациентов уже в течение часа после приема одной таблетки отмечается значимое снижение уровня тревожности по шкале Спилбергера–Ханина на 28%.
Грандаксин быстро всасывается из желудочно-кишечного тракта. Пиковые концентрации в плазме крови достигаются в течение 1–1.5 часов после приема. После всасывания препарат подвергается интенсивному метаболизму в печени, преимущественно путем деметилирования. Фармакокинетическое преимущество тофизопама – отсутствие активных метаболитов, что снижает риск накопления и пролонгированного действия. Период его полувыведения составляет около восьми часов, тогда как у ряда других бензодиазепинов этот показатель может достигать 72 часов. Например, у диазепама наличие активных метаболитов приводит к сохранению эффекта даже после полного выведения соединения из крови.
Тофизопам характеризуется комплексным механизмом действия, включающим селективное связывание с ω2-рецепторами и усиление сродства 1,4-бензодиазепинов к их рецепторным участкам. Одним из ключевых компонентов его фармакологического профиля является способность подавлять активность фосфодиэстераз, что обусловливает умеренное антидепрессивное и антипсихотическое действие, сопоставимое с эффектом ингибиторов обратного захвата серотонина. Это создает потенциальное терапевтическое преимущество, включающее когнитивное улучшение, снижение тревожности и психоэнергетический эффект без нарушения внимания.
Дополнительные эффекты тофизопама также связаны с его влиянием на различные типы фосфодиэстераз. Препарат ингибирует ФДЭ1, локализованную в головном мозге, ФДЭ2, представленную системно, ФДЭ4, которая экспрессируется в бронхолегочном аппарате, и ФДЭ5, локализованную в пещеристых телах. В частности, взаимодействие изомеров тофизопама с ФДЭ4 связывают с улучшением функции бронхолегочной системы и коррекцией психоэмоциональных нарушений, что дополняет его анксиолитический и нейромодулирующий потенциал.
Механизм действия фосфодиэстераз заключается в разрушении циклических мононуклеотидов – цАМФ и цГМФ, а их ингибирование приводит к повышению концентрации этих соединений. Увеличение уровня цАМФ в гладкой мускулатуре сосудов вызывает ее расслабление за счет снижения внутриклеточного кальция, тогда как в кардиомиоцитах наблюдается повышение кальция и усиление силы сердечных сокращений.
Тофизопам обладает смешанными свойствами агониста и антагониста дофамина, что подтверждено в ряде тестов in vivo и in vitro на животных моделях. Его поведенческие эффекты, вероятно, опосредованы усилением дофаминергической и опиоидной нейротрансмиссии. Препарат повышает чувствительность дофаминовых рецепторов и модулирует передачу опиоидных сигналов в головном мозге, при этом не вызывает формирования зависимости. Частичный агонист, подобно дофамину, конкурирует за связывание с рецептором при избыточной дофаминовой сигнализации, проявляя антагонистическое действие. В условиях дефицита дофамина он связывается с рецептором и оказывает слабый, но положительный эффект. Таким образом, фармакологическая активность тофизопама зависит от тканевого и рецепторного контекста.
Наконец, имеются данные, что препарат может оказывать гипоурикемический эффект через 2–3 часа после перорального приема в дозе 300 мг в сутки. Эффект сопоставим или даже превышает действие лозартана. Полученные результаты дают основание дальше изучать препарат у пациентов с гиперурикемией и/или подагрой, особенно при наличии сопутствующих симптомов вегетативной дисфункции.
Доказательна база эффективности Грандаксина
Влияние тофизопама на когнитивные функции существенно отличается от действия классических бензодиазепинов. В отличие от последних, тофизопам демонстрирует нейтральный или даже положительный профиль в отношении когнитивных функций и не вызывает антероградной амнезии. Благодаря этому пациенты могут сохранять профессиональную и социальную активность на протяжении всего курса лечения.
Антиамнестический эффект тофизопама был показан в экспериментальном исследовании, посвященном изучению его влияния на когнитивные дефициты у крыс с амнезией, вызванной скополамином. Введение тофизопама в дозе 50 мг/кг в течение семи дней способствовало улучшению нарушенной когнитивной деятельности, усиливало ослабленную синаптическую передачу в гиппокампе, увеличивало пролиферацию в субгранулярных зонах и снижало количество астроцитов у амнезирующих животных. Эти результаты впервые продемонстрировали наличие у тофизопама антиамнестических эффектов, сопровождающихся улучшением синаптической передачи в гиппокампе, стимуляцией нейрогенеза и повышением глиальной пластичности.
Тофизопам обладает антидепрессантоподобной активностью, которая опосредована серотонинергической, катехоламинергической и опиоидергической системами. Исследования потенциала антидепрессантоподобной активности тофизопама в работах in silico подтвердили, что антидепрессантоподобный эффект тофизопама реализуется через взаимодействие с μ- и δ-опиоидными рецепторами. Было также показано, что тофизопам проявляет противовоспалительное и иммуномодулирующее действие in vitro. Это особенно актуально для пациентов с сердечно-сосудистыми заболеваниями, значительная часть которых имеют сопутствующие аффективные нарушения, связанные с повышенным риском ишемической болезни сердца. В исследовании 2024 года, в котором изучался потенциал тофизопама как защитного адъюванта против вызванного изопреналином инфаркта миокарда у крыс, было выявлено, что тофизопам защищает от инфаркта миокарда, вызванного изопреналином, благодаря своим антиоксидантным, противовоспалительным и антиапоптотическим свойствам. Кардиопротективный эффект тофизопама реализуется посредством модуляции пути NLRP3/IL-1β/caspase-1.
Грандаксин: правила применения
Грандаксин назначается при тревоге, неврозах и психосоматических и вегетативных расстройствах, эмоциональном напряжении, усталости, апатии и подавленном настроении. Режим дозирования препарата варьирует от 50 до 300 мг в сутки. При нерегулярном применении допустим прием 1–2 таблеток. В стандартной клинической практике Грандаксин назначается по 1–2 таблетки от одного до трех раз в день, при этом суточная доза не должна превышать 300 мг. Постепенное титрование дозы, как правило, не требуется – терапию можно начинать сразу с необходимой дозировки. Это обусловлено хорошей переносимостью препарата: в процессе лечения обычно не наблюдается снижения активности, бодрствования или ухудшения общего самочувствия.
Грандаксин подходит для длительного применения, поскольку не вызывает привыкания и зависимости, не оказывает негативного влияния на память, психомоторные реакции и когнитивные функции. Препарат обладает умеренной стимулирующей активностью, что делает его особенно удобным для дневного приема. Немаловажным аспектом комплаенса пациентов при терапии тофизопамом является субъективное восприятие препарата. Тофизопам часто воспринимается как более «безопасный» и «не вызывающий привыкания», что снижает психологический барьер перед началом и продолжением терапии. Это особенно важно для пациентов с тревожными расстройствами, которые часто опасаются развития зависимости от психотропных препаратов.
Оптимальная дозировка зависит от характера тревожного расстройства. При генерализованном тревожном расстройстве рекомендуется прием 50–100 мг трижды в сутки, т.е. 150–300 мг в день. Обычно терапию начинают с 50 мг три раза в день, при недостаточной эффективности дозу увеличивают до 100 мг трижды в день. При паническом расстройстве для профилактики панических атак рекомендуется прием 50–100 мг препарата три раза в сутки. Для купирования острых панических атак дозу увеличивают до максимальной (100–150 мг). При частых панических атаках рекомендуется регулярный прием 300 мг в сутки разделенными дозами. В случае социального тревожного расстройства стандартная доза составляет 50 мг три раза в сутки. При ситуационной социальной тревоге, например перед публичными выступлениями, эффективна однократная доза составляет от 50 до 150 мг за 30–60 минут до стрессовой ситуации. Наконец, при соматоформных и соматических заболеваниях обычно назначают по 50 мг трижды в сутки. При выраженных вегетативных проявлениях доза может быть увеличена до 300 мг в сутки. У пожилых пациентов и при нарушениях функции печени терапию рекомендуется начинать с дозы 25–50 мг 2–3 раза в сутки.
Тофизопам в гериатрической практике
Международные гериатрические ассоциации рекомендуют с осторожностью применять классические бензодиазепины у пожилых пациентов из-за высокого риска нежелательных явлений. В этом контексте тофизопам представляет собой более безопасную альтернативу для лечения тревожных расстройств в данной возрастной группе.
В силу минимального риска развития когнитивных нарушений, в отличие от классических бензодиазепинов, тофизопам не углубляет когнитивный дефицит. Исследования показывают отсутствие негативного влияния на внимание, память и исполнительные функции, что особенно важно для пациентов с уже имеющимися когнитивными нарушениями. Снижение частоты падений у пожилых людей, которая повышается в 1.5–3 раза при применении классических бензодиазепинов, связано с отсутствием седативного и миорелаксирующего эффектов. Риск переломов шейки бедра у пожилых при применении тофизопама не отличается от плацебо.
Тофизопам обладает оптимальным профилем безопасности для кардиологических пациентов и способен уменьшать кардиофобические проявления тревоги без негативного влияния на сердечно-сосудистую систему. Возможности применения тофизопама у пациентов с кардиальной патологией связаны с его фармакологическим профилем. Препарат не оказывает отрицательного инотропного эффекта и не снижает сократительную способность миокарда, что обеспечивает нормальную работу сердца у людей с сердечно-сосудистыми заболеваниями. Кроме того, тофизопам оказывает нейтральное влияние на проводимость: он не удлиняет интервал QT и безопасен при аритмиях – это имеет критическое значение для кардиологических больных. Наконец, препарат обеспечивает стабильность гемодинамики, не вызывая ортостатических гипотензий и поддерживая стабильное артериальное давление при смене положения тела.
Лекарственные взаимодействия тофизопама
Тофизопам не влияет на активность ферментов семейства цитохромов P450 и не конкурирует за связь с белками плазмы, что снижает вероятность значимых взаимодействий с другими препаратами. Отсутствие активных метаболитов с длительным периодом полувыведения предотвращает накопление препарата в организме, а минимальный риск лекарственных взаимодействий формирует благоприятный профиль безопасности для пациентов с полипрагмазией и для людей, получающих комплексную фармакотерапию, включая кардиотропные препараты.
В отличие от классических бензодиазепинов, тофизопам вызывает значительно менее выраженное потенцирование седативного эффекта алкоголя, что снижает риск непреднамеренной передозировки при случайном одновременном приеме. Алкоголь вызывает фармакодинамическое взаимодействие, однако потенцирование седативного эффекта значительно меньше, чем у классических бензодиазепинов. При сочетании с селективными ингибиторами обратного захвата серотонина (СИОЗС) или ингибиторами обратного захвата серотонина и норадреналина (ИСОЗН) также наблюдается фармакодинамическое взаимодействие, проявляющееся потенцированием анксиолитического эффекта. Такая комбинация считается безопасной и часто используется в практике. При совместном применении с ингибиторами CYP3A4, такими как кетоконазол или эритромицин – мощными ингибиторами ферментов лекарственного метаболизма, – проявляется фармакокинетическое взаимодействие, приводящее к повышению концентрации тофизопама. При одновременном назначении тофизопама с препаратами этой группы возможно снижение дозы тофизопама на 25–50%. При применении с антикоагулянтами специальная коррекция дозы не требуется, поскольку препарат клинически значимо не взаимодействует с ними.
Противопоказания к применению Грандаксина
Перечень противопоказаний к применению тофизопама значительно короче, чем у классических бензодиазепинов. Это расширяет возможности его применения у различных групп пациентов. Поскольку тофизопам не оказывает значимого угнетающего влияния на дыхательный центр, он может с осторожностью применяться при респираторных заболеваниях, где классические бензодиазепины противопоказаны.
К абсолютным противопоказаниям к назначению тофизопама относятся гиперчувствительность к тофизопаму или вспомогательным компонентам, тяжелая печеночная недостаточность (Чайлд–Пью С), миастения гравис в стадии декомпенсации и закрытоугольная глаукома в острой стадии. Применение тофизопама возможно только по строгим показаниям при беременности и в период лактации. У детей и подростков до 18 лет применение препарата противопоказано. В пожилом возрасте препарат должен применяться с осторожностью. Относительные противопоказания к назначению Грандаксина – тяжелая почечная недостаточность, требующая коррекции дозы, хроническая обструктивная болезнь легких и другие дыхательные заболевания, а также депрессия с суицидальными мыслями без сопутствующей антидепрессивной терапии. На начальном этапе лечения препарат следует применять с осторожностью при вождении автомобиля и работе с механизмами, а также избегать одновременного употребления алкоголя.
Клинические исследования
Двойное слепое рандомизированное перекрестное плацебо-контролируемое пилотное сравнительное исследование анксиолитических свойств тофизопама и диазепама при генерализованном тревожном расстройстве (66 амбулаторных пациентов в возрасте от 19 до 74 лет) показало сопоставимый эффект тофизопама и диазепама. Исследование включало три двухнедельные фазы: активное лечение (тофизопам 150 мг/сут или Грандаксин 1 таблетка 50 мг три раза в день, диазепам 15 мг/сут или 1 таблетка 5 мг три раза в день, плацебо), период отмены и повторное лечение.
По шкале HADS (Госпитальная шкала тревоги и депрессии) оба препарата продемонстрировали достоверное снижение тревожности по сравнению с плацебо. Уже через две недели терапии уровень тревожности в группе тофизопама снизился значительно сильнее, чем в контрольной группе, и был сопоставим с эффектом диазепама. В дальнейшем, на шестой неделе, оба препарата обеспечили устойчивое снижение выраженности симптомов. В группе тофизопама статистически значимое улучшение отмечалось по ряду показателей, включая напряжение, тревогу, страхи и когнитивные функции.
Оценка безопасности продемонстрировала преимущество тофизопама по сравнению с диазепамом: в группе Грандаксина наблюдалось значительно меньше побочных эффектов, и их частота статистически не отличались от группы плацебо. В частности, в первой фазе частота нежелательных явлений при приеме диазепама была почти в 1.5 раза выше, чем при приеме тофизопама, и более чем в 2 раза выше, чем в группе плацебо. В третьей фазе это различие стало еще более выраженным: диазепам вызывал нежелательные реакции почти в 14 раз чаще, чем тофизопам (23% против 1.6%). Тофизопам также не вызывал синдрома отмены, в то время как в группе диазепама пациенты сообщали о сенсорных расстройствх чувствительности, спутанности сознания и других индивидуальных симптомах отмены.
Применение Грандаксина при тревоге и астении у пациентов с посттравматическим стрессовым расстройством (14 пациентов в возрасте от 21 до 35 лет, участвовавших в боевых действиях) было оценено в открытом наблюдательном исследовании. Грандаксин назначался в дозе 150 мг в сутки, разделенной на два приема, в течение трех недель. Препарат способствовал не только снижению уровня тревожности, но и улучшению показателей сна. По итогам лечения суммарный балл по шкале тревоги снизился в 7 раз, по шкале депрессии – в 2 раза, а по шкале астении – в 1.5 раза. Пресомнические расстройства купировались у 72% больных, интрасомнические – у 50%, а ночные кошмары перестали беспокоить 79% пациентов.
У пациентов с психовегетативными расстройствами добавление Грандаксина в дозе 150 мг в сутки к стандартной терапии позволяло снизить показатели реактивной и личностной тревоги на 44% и более чем в 4 раза снизить показатели выраженности вегетативных нарушений и улучшить качество сна.
Применении Грандаксина при тревожных нарушениях в период менопаузы
Исследование применения препарата в комплексной терапии у женщин в период перименопаузы доказало его эффективность в купировании вегетативных расстройств и тревожно-фобических симптомов, которые наблюдаются у 96% пациенток в этом периоде. После курса терапии у женщин отмечалось снижение вегетативных симптомов и тревожно-фобических симптомов практически на треть (на 28% и 29%, соответственно).
Результаты другой работы позволяют рассматривать Грандаксин как возможную альтернативу заместительной гормональной терапии. У пациенток в постменопаузе с признаками климактерического синдрома и у женщин после субтотальной или тотальной гистерэктомии, проведенной в течение последних 6 месяцев, Грандаксин (2 таблетки в день или 100 мг/сут в течение 4 недель) способствовал двукратному улучшению показателей динамики состояния здоровья по визуально-аналоговой шкале. У пациенток с климактерическим синдромом показатели тревожности по шкале Спилбергера-Ханина снижались в два раза, а у пациенток с посткастрационным синдромом – в 2.4 раза. У 67% пациенток был достигнут хороший результат лечения климактерического синдрома (снижение индекса Купермана более чем на 40%), у трети участниц (31%) был достигнут удовлетворительный результат (снижение индекса Купермана на 15–30%), и лишь у 2% лечение оказалось неэффективным (снижение индекса Купермана менее чем на 10%). Таким образом, месячная терапия Грандаксином способствовала облегчению психоэмоциональных и нейровегетативных климактерических симптомов у большинства (98%) пациенток.
Грандаксин оказывает выраженное положительное влияние и на симптомы предменструального синдрома. Так, терапия тофизопамом позволяет снизить общую выраженность симптомов примерно в 1.5 раза. При этом болевой компонент уменьшается в среднем в 1.6 раза, нейровегетативные проявления – в 1.4 раза, а эмоционально-аффективные – в 2 раза. Помимо этого, выраженность гипервентиляционного синдрома снижается в 1.4 раза, нарушений сна, депрессивных симптомов и болевого синдрома – в 2 раза, а реактивной тревожности – в 1.2 раза.
Исследования применения Грандаксина у пациентов с постковидным синдромом с нарушениями психоэмоционального фона демонстрируют двукратное снижение тревоги, исчезновение беспокойства, суетливости и раздражительности, а также конструктивное изменение страха. Тревожное настроение у пациентов снижается в 2.5 раз, внутренне напряжение – в 3.5 раз, инсомния – в 3.3 раза, а когнитивные нарушения – на 78%. Препарат также оказывает выраженное положительное влияние на динамику соматических проявлений тревоги в процессе лечения, способствуя общему снижению соматовегетативных последствий более чем в 2.5 раз. Так, у пациентов наблюдается двукратное уменьшение выраженности сердечно‑сосудистых, урогенитальных и дыхательных проявлений постковидного синдрома, соматических мышечных симптомов, желудочно‑кишечных расстройств, а также вегетативных и соматических нарушений.
Персонализированный подход к выбору анксиолитика
Современный подход к выбору анксиолитической терапии требует учета не только нозологической формы заболевания, но и индивидуальных особенностей пациента, включая возраст, образ жизни, наличие сопутствующих заболеваний и характер тревожных расстройств. В этом контексте тофизопам (Грандаксин) – рациональный выбор благодаря сбалансированному профилю эффективности и безопасности.
Тофизопам может стать препаратом выбора не только при тревожных расстройствах и нарушениях сна, но и для пациентов, ведущих активный образ жизни и работающих в условиях, требующих высокой концентрации внимания, поскольку он не вызывает седации и не нарушает когнитивные функции, позволяя сохранить продуктивность и ясность мышления в течение дня. Препарат не увеличивает риск падений и проявляет антиамнестический эффект – это делает его хорошим вариантом в геронтологической практике, в том числе у пожилых пациентов с признаками когнитивного дефицита. Наконец, препарат может назначаться пациентам с коморбидной соматической патологией: благодаря благоприятному профилю безопасности и низкому потенциалу лекарственных взаимодействий тофизопам может безопасно применяться в составе комплексной терапии, не вызывая полипрагмазии и не влияя на эффективность основного лечения.
Таким образом, тофизопам занимает важное место в персонализированном подходе к анксиолитической терапии различных групп пациентов: социально-активных, молодых и пожилых, пациентов с коморбидной патологией и полипрагмазией. Препарат обеспечивает гибкость в выборе режима дозирования и схемы терапии, позволяя врачу учитывать индивидуальные потребности и особенности каждого пациента.
Свежие комментарии